FO 2015 - Manel Guerrero
TRANSPAS
Tema 0 (2x2) (1x1) Presentació de l'assignatura
Tema 1 (2x2) (1x1) Arquitectura d'un ordinador (2h)
Tema 2 (2x2) (1x1) Programació bàsica (10h)
Tema 3 (2x2) (1x1) Tipus de dades estructurats (8h)
Tema 4 (2x2) (1x1) Funcions (7h)
Tema 5 (2x2) (1x1) Strings (3h)
Tema 6 (2x2) (1x1) Fitxers (3h)
Tema 7 (2x2) (1x1) Algorismes avançats (2h)
APUNTS
programando.pdf
CODI FONT
Tema 1: Arquitectura d'un ordinador
Tema 1 Hora #0
t1_taula_ascii.txt Taula ASCII
t1_taula_ascii.c Generador taula ASCII
Tema 2: Programació bàsica
Tema 2 Hora #01
t2_0_area_triangle.c Àrea d'un triangle
Tema 2 Hora #02
t2_0_area_triangle_scanf.c Àrea de qualsevol triangle
t2_0_area_cercle.c Àrea longitut de la circumferencia
Tema 2 Hora #03 (printf, scanf)
t2_0_memoria.c Com es guarden les variables a memoria. Veure les transpes sobre el tema del T1
t2_0_mays_to_mins.c De Mays a mins
t2_0_swap.c Swapping dos valors
Tema 2 Hora #04 (if1)
t2_1_max_de_dos_nums.c Maxim de 2 numeros
t2_1_par_o_impar.c Es un mumero par o impar
t2_1_positivo_negativo_o_cero.c Es un numero positivo, negativo o cero.
t2_1_notas.c Excelente, notable, aprovado, ...
t2_1_max_de_tres_nums.c Maxim de 3 numeros
t2_1_max_de_tres_nums_v2.c
t2_1_max_de_tres_nums_v3.c
t2_1_if_mays_mins_o_dig.c Mays, mins i digits
Tema 2 Hora #05 (if2)
t2_1_if_triangle.c Equilater, isosceles o escale
t2_1_ordenar_tres_nums.c Ordenar 3 nums
Tema 2 Hora #06 (switch)
Explicar la sintaxis de switch ... case (lo necesitan para la sesión 2 de laboratorio).
t2_5_switch_dia.c Et diu si ja és cap de setmana
t2_5_switch_menu.c El programa amb menú ara amb switch
t2_5_switch_calc.c Programa calculadora
t2_5_switch_calc_new.c Otra versión del programa calculadora
Tema2 Hora #07 (while)
t2_2_while_scanf_loop.c Bucles
t2_2_while_scanf_trap.c Petit problema amb scanf i bucles
t2_2_while_greates_common_divisor.c Greatest common divisor (gcd).
Tema2 Hora #08 (do ... while)
t2_3_do_suma.c Suma de seq de nums acabada en zero
t2_3_do_menu.c Programa amb menú
t2_4_for_multiples_5_7.c Imprimir tots els multiples de 5 i de 7 del 1 al 50.
t2_4_for_multiples_5_7_v2.c
t2_4_for_multiples_5_7_v3.c
t2_4_for_multiples_5_7_v4.c
Tema2 Hora #09 (for)
t2_4_for_fibonacci.c
t2_4_for_fibonacci_v2_define.c
t2_4_for_campus.c Dibuixa el Campus Nord. (i el oso).
Tema2 Hora #10 (for)
t2_4_for_domino.c Dibuixa les fitxes de domino).
t2_4_for_taules_mul.c Imprimir les taules de multiplicar.
t2_4_for_calculadora.c Calculadora simple.
Tema2 Hora #11 (for)
t2_4_for_min_max.c Exercici #6 de l'antic Tema2Iteratives.
t2_4_for_ex15_formula_max.c Exercici #15 de l'antic Tema2Iteratives.
t2_4_for_ex15_formula_max.png Representació gràfica de la funció
3D Function Grapher
Repetir factorial
Tema2 Hora #12 (for)
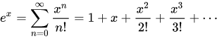
t2_6_sesion3_ej5b.c Calcul aproximat del numero e per el sumatori dels inversos del factorial de i=0 fins a n.
t2_6_sesion3_ej5b_v2.c
t2_6_sesion3_ej5b_v3.c
Tema2 Hora Extra (for)
t2_7_factores_primos_v1.c
Intro numero? 100
100 | 2
50 | 2
25 | 5
5 | 5
1
t2_7_factores_primos_v2.c
Intro numero? 900
2^2 x 3^2 x 5^2
t2_7_primos_v1.c
Hasta que numero? 100
1 2 3 5 7 11 13 17 19 23 29 31 37 41 43 47 53 59 61 67 71 73 79 83 89 97
t2_7_primos_v2.c
t2_7_primos_v3.c
Tema 3: Tipus de dades estructurats
Tema3 Hora #13 (struct)
t3s_puntos.c Calculo distancia entre 2 puntos 3D.
t3s_date.c Structs de structs.
Tema3 Hora #13 bis (struct)
t3s_aniversaris_sense_structs.c
t3s_aniversaris_amb_structs.c
Extra: t2_3_do_conta_paraules.c
Extra: t2_3_do_conta_paraules_amb_bool.c
Extra: GNU C provides several language features not found in ISO standard C (like case ranges).
Extra: Why does #include "stdio.h" work?
Tema3 Hora #13 tris Interludio matemático festivo
t9_math.c math.h
t9_math_con_trigo.c
t9_math_sin_trigo.c
t9_math_log_exp.c
t9_math_area_cercle.c Constants
t9_floating_point_exception.c Floating point exception

tan(α) = a / b
Tema3 Hora #14 (struct)
t3s_cercle.c Dir si un punt está dins d'un cercle.
t3s_rectangle.c Calculo area y perimetro de un rectangulo.
t3s_intervalo_de_tiempo.c Calculo tiempo entre dos horas.
t3s_recta.c Dir si un punt pertany a una recta.
Extra: t2_4_for_son_primos.c
Tema3 Hora #15 (vectors)
t3v_recorregut_a_while.c Recorregut amb while (xapussa).
t3v_recorregut_a_do_while.c Recorregut amb do_while (molt millor).
t3v_cerca_a.c Cerca.
t3v_cerca_a_v2.c Cerca.
t3v_palindrom.c Dir si una paraula es palíndroma.
t3v_palindroms.c Contar palíndroms en una frase.
Extra: t3v_p4_paraules_iguals.c Dir si dos paraules són iguals (problema #4 de la col·lecció).
Extra: t3v_frases_iguals.c Dir si dos frases són iguals
Tema3 Hora #16 (vectors2)
t3v_afegir_i_eliminar_simple.c Afegir i eliminar elements a un vector.
t3v_afegir_i_eliminar.c Afegir i eliminar elements amb un menu d'usuari.
t3v_comparar_tots.c Compara tots els elements d'un vector d'enters amb la resta d'elements i et diu quins són iguals.
t3v_aniversaris.c Qui celebra aniversari el mateix dia?
Tema3 Hora #17 (vectors3)
t3v_leer_cadena.c Llegir i mostrar vectors de char amb for i while.
t3v_leer_cadena_ok.c Llegir i mostrar vectors de char tal i com s'hauria de fer.
t3v_producte_escalar.c Producte escalar de dos vectors.
t3v_invertir.c Inverteix un vector d'enters.
t3v_invertir_v2.c
Tema3 Hora #18 Interludio haiku iterativo
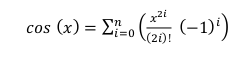
t9_coseno.c Ejercicio 7 de la sessión 3 de laboratorio. Cálculo de un coseno por Serie de McLaurin
https://es.wikipedia.org/wiki/Serie_de_Taylor
t9_coseno_haiku.c Coseno versión haiku
t9_coseno_optimo.c Coseno versión optima
t9_coseno_optimo2.c Coseno versión optima #2
t9_coseno_optimo3.c Coseno versión optima #3
t3v_media_pixels.c Qué fer quan podria ser tant un struct com un vector
PUNT
Tema3 Hora #19 (matrius)
t3w_suma_matrius.c Suma de matrius.
t3w_producte_matrius.c Producte de matrius.
t3w_producte_matrius_v2.c
t3w_producte_matrius_v3.c
t3w_llegir_matriu.c
t3w_intercanviar_fs_cs.c Intercanviar files i columnes d'una matriu sobre si mateixa.
Extra: t3w_imprimir_matriz.c Pasar por argumento un vector o una matriz de tamaço variable.
Tema3 Hora #20 (algorismes bàsics de vectors)
t3v_sort_insertion.c Ordenació de vectors: insertion sort.
t3v_sort_bubble.c Ordenació de vectors: bubble sort.
t3v_sort_bubble_v2.c Parem si ja està ordenat. (Amb comentaris interesants sobre els nivells d'optimització del compilador i -Wmaybe-uninitialized)
t3v_sort_company.c Ordenació de vectors: alternativa suggerida per un company de classe (la meva versió).
t3v_sort_company_v2.c Ordenació de vectors: alternativa suggerida per un company de classe (la seva versió).
Tema3 Hora #21 Algorismes bàsics de vectors y matrius 2
t3v_conjunts_resolt.pdf Enunciat d'intersecció de conjunts. (va ser un control).
t3v_conjunts.c Intersecció de conjunts.
t3v_conjunts_prueba.txt Petit joc de proves.
Tema3 Hora Buffer: Algorismes bàsics de vectors y matrius 3
t3w_cuadrado_magico.c Problema del cuadrado magico.
t3w_8_reinas.pdf Enunciat problema de les 8 reines. (va ser un control).
t3w_8_reinas.c Problema de les 8 reines.
t3w_8_reinas_v2.c Problema de les 8 reines (versio mes llegible).
t3w_8_reinas_v3.c Problema de les 8 reines (versio improvisada en clase).
Tema 4a: Funcions amb pas per valor
Tema4 Hora #22 (funcions)
t4_max.c Max.
t4_factorial.c Factorial. Problema #2.
t4_factorial_recursiu.c Factorial recursiu.
t4_potencia.c Potencia. Problema #3.
Tema4 Hora #23 (funcions)
Explicar: Bloc d'activació de subrutina (de funció).
t4_e_power_x.c #4 i tercera part #5.
Tema4 Hora #24 (funcions)
t4_sin_cos.c exp, sin i cos (e^x, sinus i cosinus) calculat amb series numèricas.
t4_p6.c Problema #6.
t4_canvi_base.c Canvi de base.
t4_canvi_base_v2.c Versió on no cal invertir els digits del número resultant.
t4_comparar_horas.c Que hora esta mas cerca de la media noche. (Structs como argumento y retorno de una funcion).
Com estructurar un projecte de programació en varis fitxers *.c
Tema4 Hora #25
PRJ0_RECTANGULO.tgz Un exemple de joguina de projecte de programació.
Tema 4b: Funcions amb pas per referència
Tema4 Hora #26 (punters i pas de variables per referència)
t4_swap1.c Intercanviar el valor de 2 variables.
t4_swap2.c Intercanviar el valor de 2 variables dins una funció. No va.
t4_swap3.c Intercanviar el valor de 2 elements d'un vector dins una funció. Si que va.
t4_swap4.c Intercanviar el valor de 2 elements d'un struct dins una funció. Tampoc va.
t4_swap5.c Intercanviar el valor de 2 variables dins una funció ben fet. Pas de paràmetres per referència.
Tema4 Hora #27 (funcions amb pas de variables per referència)
t4_factorial_pref.c Factorial amb pas de variables per referència.
t4_divisio_pref.c Divisió entera que retorna quocient i residu amb pas de variables per referència.
t4_coordenades.c Pas per referència combinat amb structs.
Tema4 Hora #28
t4_rectangle.c Pas per referència combinat amb structs de structs.
Tema4 Hora #29
t4_p14.c Exercici 14.
t4_imprimir_matriz.c Funcions per imprimir vectors i matrius de qualsevol mida.
Tema4 Hora #30 [buffer]
t4_pa7.c Problema addicional #7.
Tema4 Hora #31 [buffer]
t4_pa4.c Problema addicional #4.
t4_pa6.c Problema addicional #6.
Tema4 Hora #32 [buffer]
t4_eliminar_varios_de_vector.c Eliminar los numeros negativos de un vector de enteros.
t4_eliminar_varios_de_vector_v2.c Eficientemente
Tema 5: Strings
Tema5 Hora #33
t5_strings_hola.c
t5_strings_nom_cognom.c
t5_strings_compara.c
t5_strings_ordenats.c
Tema5 Hora #34
t5_strings_anagrams.c
t5_strings_examen_primavera_15_16.c Versió alternativa de anagrams.
t5_strings_nom_cognom_2.c
Tema5 Hora #35
man 3 printf
man 3 scanf
t5_scanf_corchete.c
t5_scanf_corchete_2.c
Tema 6: Fitxers
Tema6 Hora #36 (read and write)
t6_file_in.txt Fitxer amb paraules
t6_files.c Programa que compta paraules d'un fitxer i ho grava en un altre fitxer.
Tema6 Hora Buffer (append and mini CSV)
t6_append_log.c Programa que afegeix entrades al final d'un fitxer (append).
t6_el_elegido.c Programa que escull un alumne a l'atzar d'un fitxer amb un llistat d'alumnes.
t6_g00.csv CSV d'un llistat d'alumnes.
Tema6 Hora Buffer (CSV)
sacramento_crime_January_2006.csv (En vim he fet :%s/\r/\r/g per eliminar ^M)
sacramento_crime_January_2006.png Visualitzacio grafica de les dades del CSV.
Map of Sacramento Neighborhoods and Police Beats Districtes i beats.
Web d'on he tret el csv i png
t6_crime.c Programa que processa el fitxer CSV.
Tema 7: Algorismes avançats
Tema7 Hora Buffer
t7_puzzle.c Programa del puzzle.
t7_puzzle.txt Posició inicial del puzzle.
t7_puzzle_b.c Programa del puzzle més elegant, on es passa per arguments una condició.
t7_operar_fraccions.c Programa d'operar amb fraccions.
t7_operar_fraccions_DDD.png Screenshot del DDD amb 2/4 + -6/-7 * 1/2.
RECOMENDACIONES DE COMPILACION
Para ver casi todos los warnings (por ejemplo algunos -Wmaybe-uninitialized no se detectan en este nivel de optimizaciones de compilador) y generar un executable optimizado:
gcc -o foo foo.c -O2 -Wall
Para generar un ejecutable que se pueda debugar viendo todos los warnings:
gcc -o foo foo.c -g -Og -Wall
Compilar con el nivel de optimización por defecto no muestra todos los tipos de warnings (por ejemplo -Wmaybe-uninitialized no se detecta):
gcc -o foo foo.c -g -Wall
Ver los siguientes ejemplos para más detalles:
- t3v_sort_bubble_v2.c Parem si ja està ordenat. (Amb comentaris interesants sobre els nivells d'optimització del compilador i -Wmaybe-uninitialized)
C LINKS
The C Library Reference Guide
C Language Keywords
Wikipedia: C standard library
The C Standard Library Reference
Trampa: Recorda de compilar amb el "-lm" quan usis math.h ("gcc -o foo foo.c -lm")
Infinity, and NaN (not a number) in IEEE 754 floating point numbers.
BOOKS
C Programming Language
TIPS AND TRICKS
Depuradores_para_C.pdf Como utilizar el Nemiver y el DDD.
Trucos_Nemiver_Mario_New.pdf Como utilizar el Nemiver.
El package libc6-dev pone en /usr/include/ todos los .h del sistema (stdio.h, string.h, ...).
AUTOINDENTAR CON VIM
echo -e ":1\nVG=:wq\n" | vim fle.c
No os preocupeis si os dice:
Vim: Warning: Input is not from a terminal
Esta es la nueva página de FO. La antigua está en: FO 2012-2014
MANEL's WEBPAGE